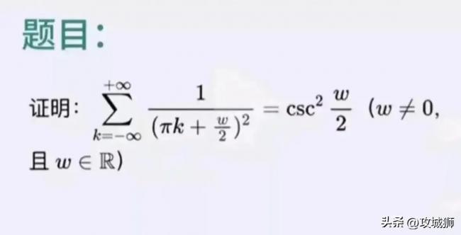
| 主办方阿里达摩院让姜萍又做的一道题, 这里大虾很多,谁会做? |
| 送交者: 2024年06月17日15:10:03 于 [世界军事论坛] 发送悄悄话 |
|
|
|
|
|
|
![]() |
|||||||||||
|
![]() |
| 实用资讯 | |
|
|
| 一周点击热帖 | 更多>> |
| 一周回复热帖 |
| 历史上的今天:回复热帖 |
| 2023: | 环球时报社评:谁最关心台湾?海峡论坛 | |
| 2023: | US Tourist Pushed Off Cliff Near Ger | |
| 2022: | 福建号仍然是有一些战斗能力的训练舰, | |
| 2022: | 003型航空母舰下水仪式 福建舰 zt | |
| 2021: | 神舟12正在对接直播 | |
| 2021: | 港警国安处拘捕《苹果日报》总编辑等5人 | |
| 2020: | 中国最应该连横的就是印越朝日,中国反 | |
| 2020: | 印度明白人说话 | |
| 2019: | 任正非承认低估美国制裁冲击 预计华为手 | |
| 2019: | 彻底清净! 现在主贴也可以不看了! | |






